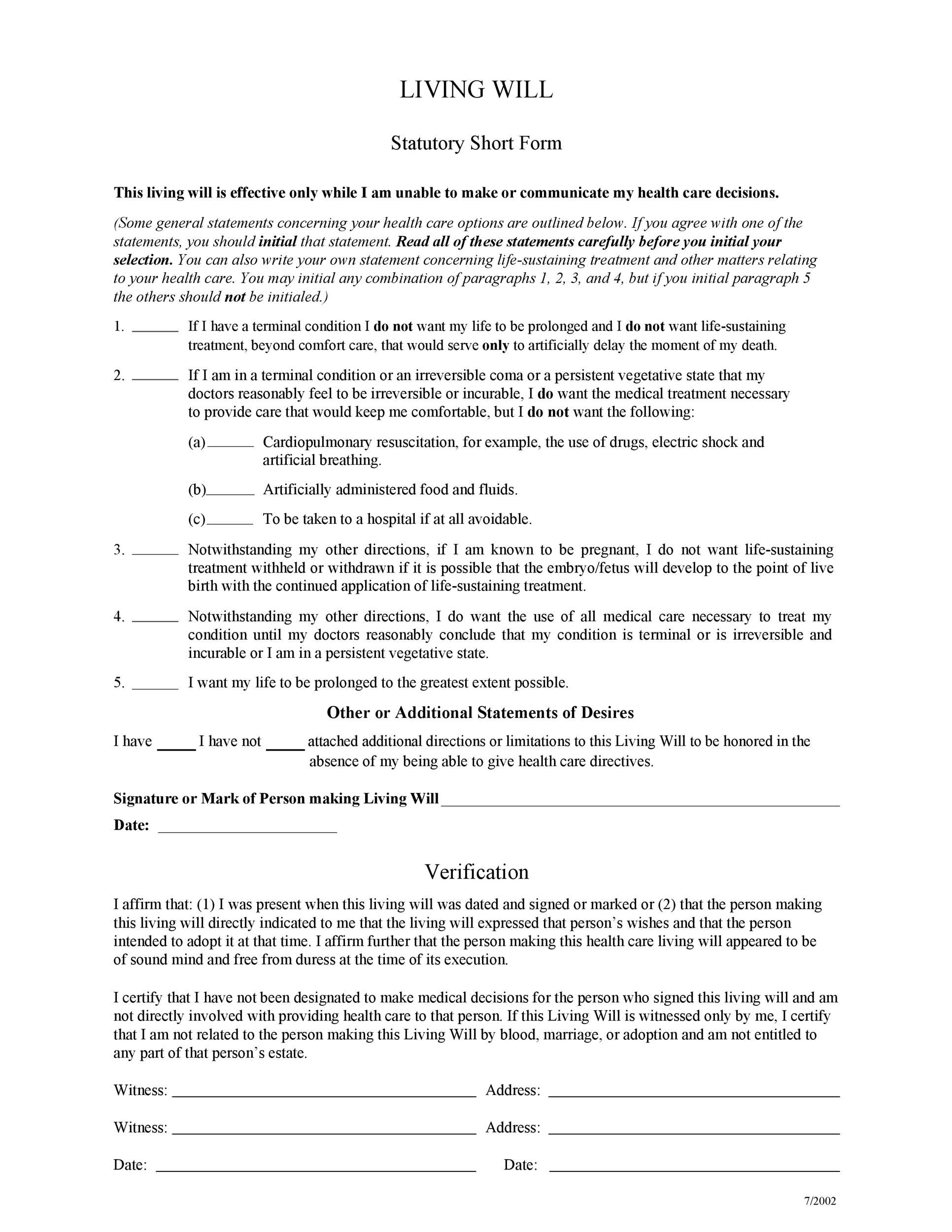
Are you ready to take control of your future and plan ahead for any unforeseen circumstances? Creating a living will is a crucial step in ensuring that your wishes are followed in the event that you become incapacitated. By taking the time to fill out a living will template sample, you are making a thoughtful decision that will provide you and your loved ones with peace of mind. Your future self will thank you for being proactive and taking the necessary steps to protect your wishes.
Get Prepared: Your Future Self Will Thank You
Planning for the future may not always be the most fun task, but it is incredibly important. By creating a living will now, you are taking control of your destiny and ensuring that your wishes are honored. Whether you have specific medical preferences or end-of-life care instructions, a living will template sample can help you clearly outline your desires. It’s never too early to start planning, and your future self will be grateful that you took the time to prepare for the unexpected.
Taking the time to create a living will template sample is a gift to yourself and your loved ones. By clearly documenting your wishes, you are relieving your family members of the burden of making difficult decisions on your behalf. Your future self will thank you for making those tough choices now and providing guidance for your loved ones during challenging times. Don’t wait until it’s too late – start planning ahead today and give yourself the peace of mind that comes with knowing your wishes will be respected.
Explore our Living Will Template Sample Today!
Are you ready to take the next step in planning for your future? Our living will template sample is designed to make the process easy and straightforward. With simple prompts and clear instructions, you can quickly and easily create a living will that reflects your wishes and preferences. Don’t wait until it’s too late – explore our template today and take control of your future.
Our living will template sample is customizable to fit your unique needs and preferences. Whether you have specific medical instructions, end-of-life care preferences, or other important decisions to document, our template can help you clearly outline your wishes. Planning ahead doesn’t have to be complicated – with our user-friendly template, you can create a comprehensive living will in no time. Take the first step towards peace of mind and explore our living will template sample today.
Don’t leave your future to chance – take control of your destiny by creating a living will that reflects your wishes and preferences. Our living will template sample is a valuable tool that can help you plan for the unexpected and ensure that your wishes are followed. Start planning ahead today and explore our template to make the process of creating a living will simple and stress-free. Your future self will thank you for taking the time to plan ahead and protect your wishes.
In conclusion, planning ahead for the unexpected is a thoughtful and important decision that can provide you and your loved ones with peace of mind. By creating a living will template sample, you are taking proactive steps to ensure that your wishes are followed in the event of incapacitation. Don’t wait until it’s too late – explore our template today and start planning for your future. Your future self will thank you for being prepared and taking control of your destiny.
![50 free living will templates forms word e19085 templatelab for living will template sample 50 Free Living Will Templates & Forms [Word] ᐅ Templatelab for Living Will Template Sample](https://templatesamples.net/wp-content/uploads/2024/08/50-free-living-will-templates-forms-word-e19085-templatelab-for-living-will-template-sample.jpg)





![50 free living will templates forms word e19085 templatelab throughout living will template sample 50 Free Living Will Templates & Forms [Word] ᐅ Templatelab throughout Living Will Template Sample](https://templatesamples.net/wp-content/uploads/2024/08/50-free-living-will-templates-forms-word-e19085-templatelab-throughout-living-will-template-sample.jpg)
More Template Samples…
Disclaimer: All images on this website are the property of their respective owners. If you are the owner of an image and do not wish for it to be published on this website, please contact us. Upon receipt of your request, we will promptly remove the image in question.
