Do you find yourself constantly dealing with refund requests and unhappy customers? It’s time to say goodbye to refunds and enter the no-regret zone! By implementing a no-regret policy, you can create a happier customer experience and save yourself time and hassle. Let’s dive into how you can create a sparkling sample template for a no-regret policy that will keep your customers satisfied and coming back for more.
Say Goodbye to Refunds: Enter the No-Regret Zone!
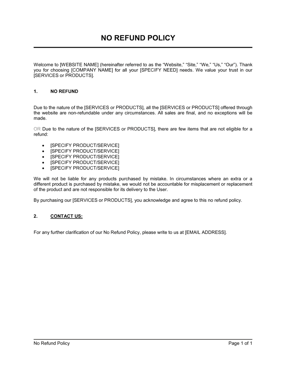
Refunds can be a headache for businesses, often resulting in lost revenue and dissatisfied customers. But with a no-regret policy in place, you can eliminate the need for refunds altogether. By setting clear expectations and guidelines for your customers upfront, you can prevent misunderstandings and ensure that both parties are on the same page from the start. This not only saves you time and money but also creates a more positive and trusting relationship with your customers.
One key aspect of a successful no-regret policy is transparency. Clearly communicate your policies regarding returns, exchanges, and refunds to your customers so they know what to expect. By being upfront about your terms and conditions, you can avoid any confusion or disputes down the line. Additionally, consider offering alternatives to refunds, such as store credit or exchanges, to provide customers with options and keep them satisfied with their purchase. With a well-thought-out and customer-centric no-regret policy, you can create a win-win situation for both you and your customers.
Create Customer Happiness with a Sample No-Regret Policy!
To create a sample template for a no-regret policy, start by outlining your company’s values and commitment to customer satisfaction. Clearly state your policy on returns, exchanges, and refunds, including any limitations or exceptions. Consider including a timeframe for returns and exchanges, as well as any conditions that must be met for a refund or exchange to be processed. Make sure to communicate your policy through multiple channels, such as your website, email communications, and in-store signage, to ensure that all customers are aware of your terms.
Furthermore, empower your customer service team to handle any inquiries or issues related to returns and exchanges with confidence and empathy. Providing excellent customer service can make all the difference in turning a potentially negative situation into a positive one. By putting your customers first and providing them with a hassle-free and fair return policy, you can build loyalty and trust among your customer base. So why wait? Say goodbye to refunds and hello to a no-regret zone with a sparkling sample template for a customer-centric policy that will keep your customers happy and coming back for more.
In conclusion, implementing a no-regret policy can be a game-changer for your business, leading to happier customers and a more streamlined operation. By setting clear expectations, being transparent, and providing excellent customer service, you can create a positive and trusting relationship with your customers that will keep them coming back for more. So why not take the leap into the refund-free zone and create a sparkling sample template for a no-regret policy today? Your customers will thank you, and your business will thrive as a result.
![no refund policy template 2024 download docx business in a box with regard to no refund policy sample template No Refund Policy Template 2024 [Download .Docx] | Business In A Box™ with regard to No Refund Policy Sample Template](https://templatesamples.net/wp-content/uploads/2024/08/no-refund-policy-template-2024-download-docx-business-in-a-box-with-regard-to-no-refund-policy-sample-template.png)



![free printable insurance cancellation letter templates pdf word within no refund policy sample template Free Printable Insurance Cancellation Letter Templates [Pdf, Word] within No Refund Policy Sample Template](https://templatesamples.net/wp-content/uploads/2024/08/free-printable-insurance-cancellation-letter-templates-pdf-word-within-no-refund-policy-sample-template.jpg)
![no refunds policy that doesnt scare buyers free template inside no refund policy sample template No Refunds Policy That Doesn'T Scare Buyers [Free Template] inside No Refund Policy Sample Template](https://templatesamples.net/wp-content/uploads/2024/08/no-refunds-policy-that-doesnt-scare-buyers-free-template-inside-no-refund-policy-sample-template.png)

More Template Samples…
Disclaimer: All images on this website are the property of their respective owners. If you are the owner of an image and do not wish for it to be published on this website, please contact us. Upon receipt of your request, we will promptly remove the image in question.
